Category: Human Behavior and Cognitive Science

  • RT @SteveStuWill: IQ correlates with happiness, but the correlation isn’t strong

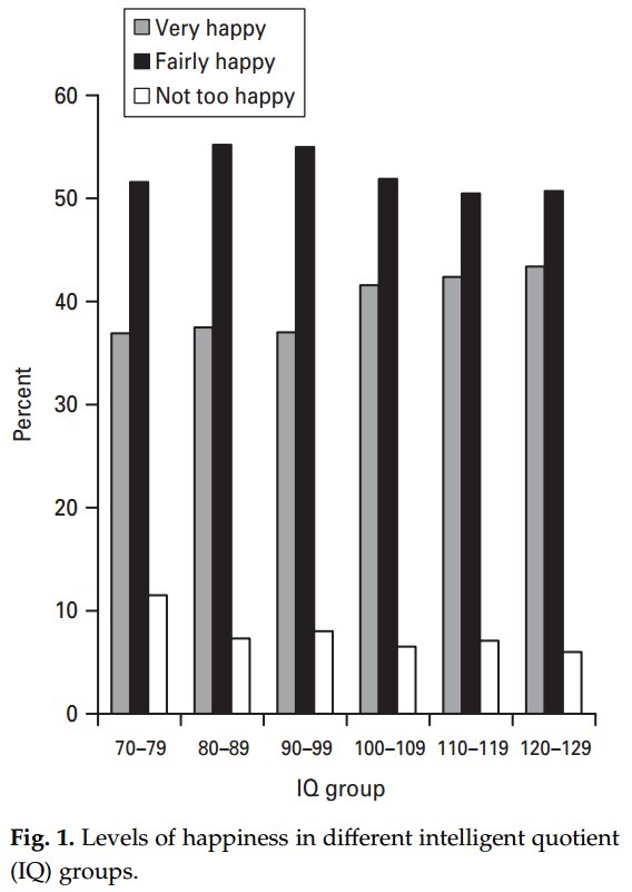
    RT @SteveStuWill: IQ correlates with happiness, but the correlation isn’t strong http://wrap.warwick.ac.uk/56682/1/WRAP_Weich_Relationship_between_S0033291712002139a.pdf https://t.co/dEdGFCbPZT


    Source date (UTC): 2016-05-26 04:44:28 UTC

    Original post: https://twitter.com/i/web/status/735693057396379650

  • SteveStewartWilliams (@SteveStuWill): IQ correlates with happiness, but the corr

    http://twitter.com/SteveStuWill/status/735621106552311808/photo/1?utm_source=fb&utm_medium=fb&utm_campaign=curtdoolittle&utm_content=735693057396379650Retweeted SteveStewartWilliams (@SteveStuWill):

    IQ correlates with happiness, but the correlation isn’t strong https://t.co/ZCKdb4fRjK https://t.co/dEdGFCbPZT


    Source date (UTC): 2016-05-26 00:44:00 UTC

  • IS A MISNOMER The term anti-depressant is a mis-categorization of an SSRI. So to

    http://www.philly.com/philly/health/topics/HealthDay711263_20160524_Antidepressants_Not_Just_for_Depression_Any_More.htmlANTI-DEPRESSANT IS A MISNOMER

    The term anti-depressant is a mis-categorization of an SSRI. So to call a drug an anti-depressant rather than an SSRI is a falsehood.

    We do not in fact KNOW why SSRI’s work since the serotonin deficiency theory doesn’t appear to be withstanding empirical scrutiny. It could be because of increasing blood and oxygen flow to midbrain regions, or it could be because of neurogenesis in underdeveloped regions. Or it could be because underdeveloped regions or under-pruned regions, are excessively subject to stresses (cortisol) so that those regions lack adequate neurological transmission for handling stress. It could be that fringe theories that gut bacteria losses have broken the sympathetic relationship between dopaminergenic and serotonin distribution processes. It could be all of the above.

    What it appears is that SSRI’s in general, alleviate STRESSES on the brain caused by many, many issues.

    Depression is a form of exhaustion. Autism spectrum disorders, Social Anxiety, Post traumatic stress disorders, Panic disorders, and Migraines are all symptoms of stress, exhaustion from stress, and damage from stress.

    The working theory is that SSRIs are to stress effects, what antibiotics are to the immune system: they provide a relief from the cause whereby the body can work at repairing itself. Although just like any other form of cellular damage, cellular under-development, or cellular system depletion, once significant damage has been incurred, some of it is not fully repairable – and the mind is a very sensitive thing if for no other reason that we remember the difference between prior and current conditions.

    We evolved to work in tribes of hunter gatherers. We did not evolve to work in modernity deprived of family and tribal security, saturated with information creating self doubt, and eating sugars and preservatives as compensation for lack of the mood-raising of oxygenation obtained through physical exertion. Modernity limits the accumulation of damage to our cells, but it increases intellectual and emotional stresses dramatically. Neurons have taken the damage in the information era, that physical stresses have in prior eras.

    Curt Doolittle

    The Propertarian Institute

    Kiev, Ukraine


    Source date (UTC): 2016-05-25 03:47:00 UTC

  • find that attractive individuals earn roughly 20 percent more than people of ave

    http://marginalrevolution.com/marginalrevolution/2016/05/how-much-of-the-attractiveness-premium-is-really-about-grooming.html?utm_source=feedburner&utm_medium=feed&utm_campaign=Feed%3A+marginalrevolution%2Ffeed+%28Marginal+Revolution%29#sthash.lNhTjTtO.dpuf—“We find that attractive individuals earn roughly 20 percent more than people of average attractiveness, but this gap is reduced when controlling for grooming, suggesting that the beauty premium can be actively cultivated. Further, while both conventional wisdom and previous research suggest the importance of attractiveness might vary by gender, we find no gender differences in the attractiveness gradient. However, we do find that grooming accounts for the entire attractiveness premium for women, and only half of the premium for men.”—


    Source date (UTC): 2016-05-24 17:28:00 UTC

  • (Our moral and conceptual biases reflect our reproductive time preferences: an I

    (Our moral and conceptual biases reflect our reproductive time preferences: an Intertemporal Division of Labor.)


    Source date (UTC): 2016-05-24 10:38:03 UTC

    Original post: https://twitter.com/i/web/status/735057264206303232

    Reply addressees: @VVZumbrunnen @JReubenCIark

    Replying to: https://twitter.com/i/web/status/735003719108960256


    IN REPLY TO:

    Original post on X

    Original tweet unavailable — we could not load the text of the post this reply is addressing on X. That usually means the tweet was deleted, the account is protected, or X does not expose it to the account used for archiving. The Original post link below may still open if you view it in X while signed in.

    Original post: https://twitter.com/i/web/status/735003719108960256

  • (Meaning that children(female interest) are more fragile than adults (male inter

    (Meaning that children(female interest) are more fragile than adults (male interests).


    Source date (UTC): 2016-05-24 10:37:16 UTC

    Original post: https://twitter.com/i/web/status/735057067040509952

    Reply addressees: @VVZumbrunnen @JReubenCIark

    Replying to: https://twitter.com/i/web/status/735003719108960256


    IN REPLY TO:

    Original post on X

    Original tweet unavailable — we could not load the text of the post this reply is addressing on X. That usually means the tweet was deleted, the account is protected, or X does not expose it to the account used for archiving. The Original post link below may still open if you view it in X while signed in.

    Original post: https://twitter.com/i/web/status/735003719108960256

  • (more ammo for you: the half life of resource-restricted offspring is shorter th

    (more ammo for you: the half life of resource-restricted offspring is shorter than the half-life of the tribe.)


    Source date (UTC): 2016-05-24 10:36:37 UTC

    Original post: https://twitter.com/i/web/status/735056903479398400

    Reply addressees: @VVZumbrunnen @JReubenCIark

    Replying to: https://twitter.com/i/web/status/735003719108960256


    IN REPLY TO:

    Original post on X

    Original tweet unavailable — we could not load the text of the post this reply is addressing on X. That usually means the tweet was deleted, the account is protected, or X does not expose it to the account used for archiving. The Original post link below may still open if you view it in X while signed in.

    Original post: https://twitter.com/i/web/status/735003719108960256

  • We must contain the parasitism of women just as aggressively as we must contain

    We must contain the parasitism of women just as aggressively as we must contain the parasitism of men.


    Source date (UTC): 2016-05-24 06:26:00 UTC

  • EVOLVING PAST ASPIE I have many aspie traits. But I have evolved around those th

    EVOLVING PAST ASPIE

    I have many aspie traits. But I have evolved around those that determine preferences. I simply cannot evolve beyond those of perception – I cannot choose to be more empathic any more than another can choose not to be color blind.

    In person I come across as socially competent. But it was hard won. Mostly by listening and trying to understand.

    We all desire the world to speak to us in our terms. But this is just exporting the cost of understanding into others – theft.

    Seek to understand, not to agree, and not to be understood.

    I suppose that my advice to aspie friends is to take advantage of your gift which insulates you from the pressure of empathy and norms, by pursuing truth.

    It is logical that we sound self centered to others because we have no empathic method of comparison and judgement. Only appeal to our own methods of comparison and judgement. So we say “I would” or “I do” too often for normals.

    But despite our lack of empathy, we display the same desire for human contact and interaction as do normals.

    But the way to obtain that human interaction is to work hard to understand others. And mention the self only in our internal voice.

    You see. Autism eliminates the sense of self. We struggle to know ourselves as hard as we struggle to know others.

    But in practice we can only come to understand ourselves by understanding others. Otherwise we are attempting to draw water from a dry well.

    Our function in the division of perception and cognition is to detect error, and when possible provide correction.

    But our gift comes at the expense of emotional maturity.

    So it is best to think of our objectives in life as the struggle to understand and communicate with the same level of effort that normals use in their struggle to insulate their thoughts from normative, emotional and cognitive biases.

    When we meet in the middle and exchange information, together we have greater understanding than either of us can have in our own.

    Revel in your gift. But recognize that as a minority norms and education are constructed for normals. And so we must find a way of educating ourselves without the vast institutional structures that normals have to assist them.


    Source date (UTC): 2016-05-23 22:22:00 UTC

  • But why do you intuit ‘correctly’ yet most others intuit incorrectly? A life of

    But why do you intuit ‘correctly’ yet most others intuit incorrectly? A life of observation? Upbringing? Reading?


    Source date (UTC): 2016-05-21 17:16:40 UTC

    Original post: https://twitter.com/i/web/status/734070416625553408

    Reply addressees: @AliceTeller @SurlyPeach

    Replying to: https://twitter.com/i/web/status/734069974910828544


    IN REPLY TO:

    @AliceTeller

    @curtdoolittle @SurlyPeach I was born female? I am capable of logic and reason – I use them to justify what my gut tells me.

    Original post: https://twitter.com/i/web/status/734069974910828544